Introduction
The success of the IonoSolv process hinges on efficient filtration and drying, which are critical to recovering and purifying lignin. Filtration separates dissolved lignin and residual components, while drying removes residual solvents, maintaining the structural and chemical integrity of the lignin. Studies have demonstrated the importance of agitation during filtration, where optimized stirring enhances extraction efficiency. Similarly, various drying methods, including oven, vacuum, and freeze-drying, influence the physicochemical properties of lignin, including particle size and molecular structure. These findings underscore the need to optimize operational parameters to ensure lignin's functionality for downstream applications.
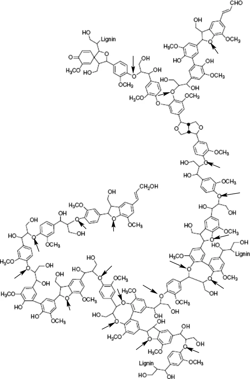
Fig 1. (b) Chemical structure of spruce lignin with α-O-4 and β-O-4 between phenol groups
Point 1
Efficient filtration and drying are fundamental to the IonoSolv process, ensuring high lignin recovery rates and preserving its structural integrity for further applications.
Point 2
Studies highlight that operational parameters, such as agitation during filtration and drying methodologies (e.g., oven, vacuum, freeze-drying), significantly influence the physicochemical characteristics of lignin, necessitating meticulous optimization for improved functionality.

